| Автор |
Сообщение |
Форум: Интересные идеи и схемы. Тема: RGB контроллер |
| SVN |
|
Добавлено: 29 май 2011, 18:05
|
|
Ответы: 10 Просмотры: 34373
|
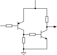
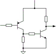
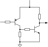
Здравствуйте. А чем такое решение Вам не подходит?

11.gif [ 3.59 КБ | Просмотров: 29841 ]

22.gif [ 2.25 КБ | Просмотров: 29840 ]
|
|
 |
Форум: Общие вопросы по Algorithm Builder Тема: Программируем на Algorithm Builder |
| SVN |
|
Добавлено: 30 май 2011, 14:46
|
|
Ответы: 245 Просмотры: 366778
|
| Здравствуйте GetChiper! Приятно был удивлён, что программы для контроллеров пишете на Algorithm Builder, :) так как в инете очень редко встретишь того кто программирует на АВ. В контроллерах и программировании я новичок, но среда программирования Громова очень понравилась, и поэтому решено было заре... |
|
 |
Форум: Общие вопросы по Algorithm Builder Тема: Программируем на Algorithm Builder |
| SVN |
|
Добавлено: 30 май 2011, 17:09
|
|
Ответы: 245 Просмотры: 366778
|
| На практике - все просто. Фактически АЦП только один, а к его входу можно подключать каналы (ножки). Алгоритм будет такой: - Настраиваешь АЦП. - устанавливаешь в качестве ввода канал (например - 0), запускаешь единичное преобразование; - дожидаешься прерывания по окончанию преобразования, считываеш... |
|
 |
Форум: Обсуждение готовых устройств блога www.GetChip.net Тема: Преобразователь IR-сигналов от пультов в UART. |
| SVN |
|
Добавлено: 13 июн 2011, 16:55
|
|
Ответы: 27 Просмотры: 98127
|
Здравствуйте. Устройство превосходное! Как только придумаю где использовать, обязательно сделаю.  |
|
 |
Форум: "Я сделал!" Тема: Дисплей HT1611 |
| SVN |
|
Добавлено: 14 июн 2011, 22:15
|
|
Ответы: 6 Просмотры: 24834
|
На чём пишете?  |
|
 |
Форум: Обсуждение готовых устройств блога www.GetChip.net Тема: 12-ти канальный генератор эффектов на ATtiny2313. |
| SVN |
|
Добавлено: 30 май 2011, 11:05
|
|
Ответы: 129 Просмотры: 269945
|
| Здравствуйте. Прочитав этот пост, больше всего удивила Ваша не внимательность. Ведь у GetChiper в статье 062 – Как подключить к контроллеру нагрузку и в статье 12-ти канальный генератор эффектов на ATtiny231 , подробно рассказано как подключать светодиоды к контроллеру. ;) Из Вашего последнего сообщ... |
|
 |
Форум: Интересные идеи и схемы. Тема: RGB контроллер |
| SVN |
|
Добавлено: 06 июн 2011, 16:26
|
|
Ответы: 10 Просмотры: 34373
|
|
 |
Форум: Интересные идеи и схемы. Тема: RGB контроллер |
| SVN |
|
Добавлено: 02 июн 2011, 21:39
|
|
Ответы: 10 Просмотры: 34373
|
| SVN , спасибо за схемы! Но можно попросить чутка объяснить как они инвертируют сигнал? Куда какой ток идёт, и какие номиналы, например во второй схеме, на базу второго транзистора идёт резистор, от чего будет зависеть его сопротивление? GetChiper ULN2003 как вариант) но если понадобится больший вых... |
|
 |
Форум: Общие вопросы по Algorithm Builder Тема: Программируем на Algorithm Builder |
| SVN |
|
Добавлено: 14 июн 2011, 22:09
|
|
Ответы: 245 Просмотры: 366778
|
| А мне все больше и больше нравится Algorithm Builder. Перекинуть программу на другой микроконтроллер - без проблем! Просто прелесть ... Удобно, ясно и быстро. Есть, конечно, некоторые замечания и пожелания, но они нисколько не умаляют достоинства сего продукта. Продолжаю изучать сие чудо творческой... |
|
 |
Форум: Вопросы по работе форума и блога. Тема: Добавьте easyelectronics.ru в ссылки |
| SVN |
|
Добавлено: 14 июн 2011, 22:26
|
|
Ответы: 7 Просмотры: 37223
|
| http://easyelectronics.ru/about Сайт уважаемого DI HALT Много отличнейших статей про программирование AVR на ассемблере и Си. "AVR учебный курс" - Просто произведение искусства. Также огромное сообщество на форуме и в комментариях к статьям. Я сомневаюсь что вы не слышали про этот ресурс,... |
|
 |
| Поле сортировки: |